Home
Forums
Circles
Help
Contact
Login
Register
All discussions in Competitions
Start Discussion
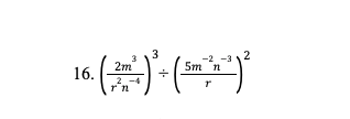
2023 Mathematics Competition
Question 16
Post By
Caleb Adeleye
2 years ago
2023 Mathematics Competition
Question 15
Post By
Caleb Adeleye
2 years ago
2023 Mathematics Competition
Question 14
Post By
Caleb Adeleye
2 years ago
2023 Mathematics Competition
Qestion 13
Post By
Caleb Adeleye
2 years ago
2023 Mathematics Competition
Question 12
Post By
Caleb Adeleye
2 years ago
2023 Mathematics Competition
Question 11
Post By
Caleb Adeleye
2 years ago
2023 Mathematics Competition
Question 10
Post By
Caleb Adeleye
2 years ago
2023 Mathematics Competition
Question 9
Post By
Caleb Adeleye
2 years ago
2023 Mathematics Competition
Question 8
Post By
Caleb Adeleye
2 years ago
2023 Mathematics Competition
Question 7
Post By
Caleb Adeleye
2 years ago
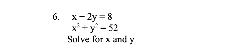
2023 Mathematics Competition
Question 6
Post By
Caleb Adeleye
2 years ago
2023 Mathematics Competition
Question 5
Post By
Caleb Adeleye
2 years ago
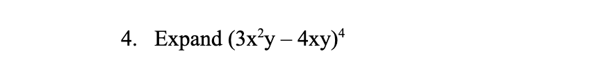
2023 Mathematics Competition
Question 4
Post By
Caleb Adeleye
2 years ago
2023 Mathematics Competition
Question 3
Post By
Caleb Adeleye
2 years ago
2023 Mathematics Competition
Question 2
Post By
Caleb Adeleye
2 years ago
Previous
1
2
3
Next