Home
Forums
Circles
Help
Contact
Login
Register
All discussions in Competitions
Start Discussion
2023 Mathematics Competition
No Gree For Anybody": Multichoice Makes U-turn, To air All AFCON Matches live
Post By
Taiwo Ayandeyi
2 years ago
2023 Mathematics Competition
Questions 30
Post By
Caleb Adeleye
2 years ago
2023 Mathematics Competition
Question 29
Post By
Caleb Adeleye
2 years ago
2023 Mathematics Competition
Question 28
Post By
Caleb Adeleye
2 years ago
2023 Mathematics Competition
Question 27
Post By
Caleb Adeleye
2 years ago
2023 Mathematics Competition
Question 26
Post By
Caleb Adeleye
2 years ago
2023 Mathematics Competition
Question 25
Post By
Caleb Adeleye
2 years ago
2023 Mathematics Competition
Questions 24
Post By
Caleb Adeleye
2 years ago
2023 Mathematics Competition
Question 23
Post By
Caleb Adeleye
2 years ago
2023 Mathematics Competition
Question 22
Post By
Caleb Adeleye
2 years ago
2023 Mathematics Competition
Question 21
Post By
Caleb Adeleye
2 years ago
2023 Mathematics Competition
Question 20
Post By
Caleb Adeleye
2 years ago
2023 Mathematics Competition
Question 19
Post By
Caleb Adeleye
2 years ago
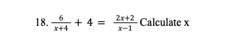
2023 Mathematics Competition
Question 18
Post By
Caleb Adeleye
2 years ago
2023 Mathematics Competition
Question 17
Post By
Caleb Adeleye
2 years ago
1
2
3
Next